Laboratório credenciado pela A2LA
A Trace Analytics, LLC é submetida a uma rigorosa avaliação de competência técnica por terceiros, realizada pela American Association for Laboratory Accreditation.
Setores que atendemos
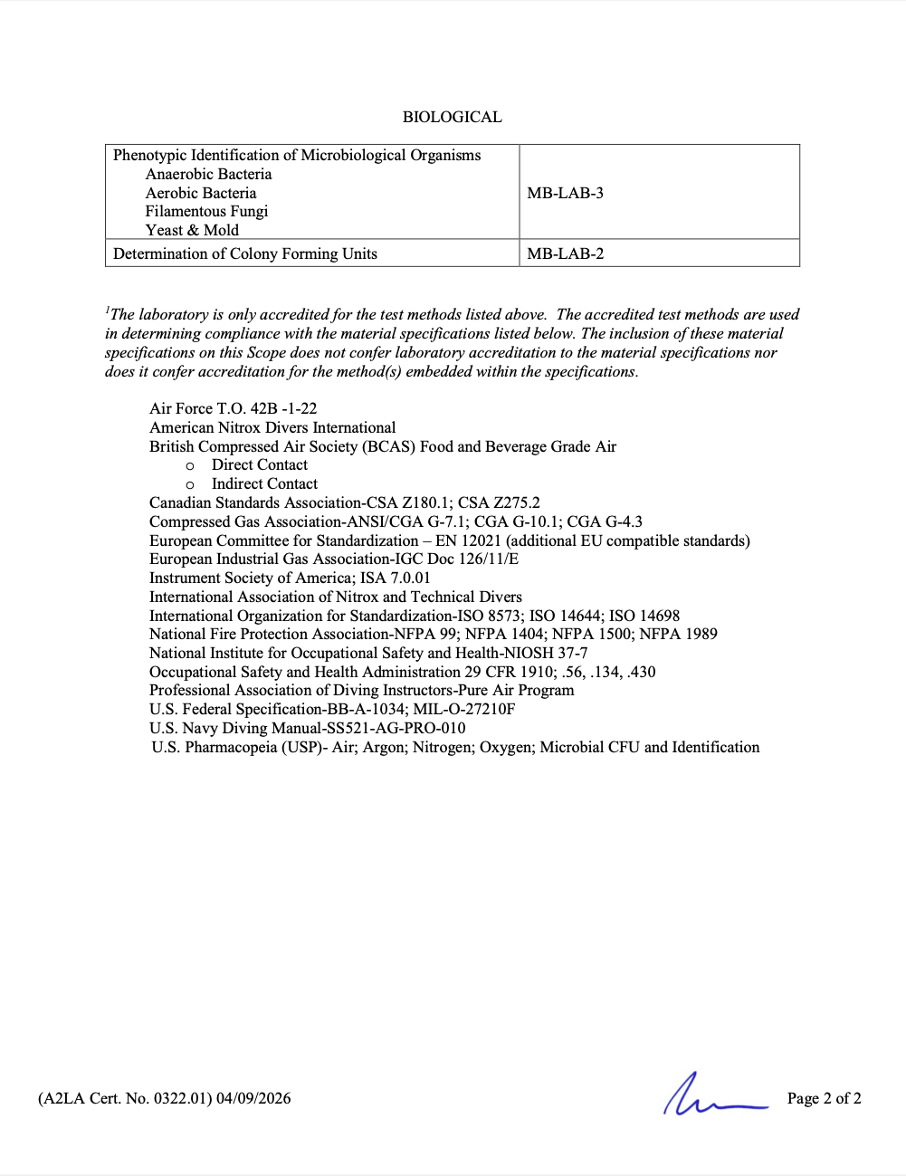
Certificado de acreditação A2LA da Trace Analytics
Os critérios de avaliação são baseados na norma internacionalmente aceita ISO/IEC 17025, que é usada para a avaliação de laboratórios em todo o mundo. A ISO/IEC 17025 abrange os mesmos princípios do sistema de gerenciamento de qualidade que são abordados no registro da ISO 9001.
Ao escolher a Trace Analytics, você pode ter certeza de que está usando um laboratório tecnicamente competente com um sistema de qualidade sólido. Nosso laboratório participa de um programa trimestral de testes de proficiência como uma demonstração contínua de competência.


Por que escolher o Trace Analytics?
Credenciado
Nosso laboratório credenciado pela A2LA é um laboratório terceirizado imparcial, sem interesse financeiro em outros produtos de ar comprimido. Os extensos procedimentos de controle de qualidade do laboratório da Trace garantem que você receberá dados de qualidade. A Trace é um laboratório credenciado pela A2LA, em conformidade com a norma ISO 17025, certificado nº 0322-01.
Kits fáceis de usar
O AirCheck✓ Kit™ foi projetado para uso com especificações de ar respirável comprimido que exigem um ponto de orvalho seco, como ISO 8573, NFPA 1989, CGA, ISPE e outras. Outras especificações estão disponíveis. Esses kits são normalmente usados por empresas de alimentos, embalagens, dispositivos médicos, produtos farmacêuticos, nucleares, mergulhadores, bombeiros e instalações industriais de ar respirável para testar o ar comprimido e atender aos seus requisitos.
Assista ao nosso vídeo de amostragem on-line para testes de ar comprimido.
Satisfação
O ar comprimido tem sido nossa especialidade desde 1989 – nossa equipe de especialistas AirCheck✓™ tem décadas de experiência no campo específico de análises, testes e solução de problemas de ar comprimido e ambientais. O excelente atendimento ao cliente e o desejo de oferecer uma experiência de teste mais eficiente e precisa têm sido a espinha dorsal da nossa empresa desde 1989 – e continuam sendo verdadeiros até hoje. Nós nos orgulhamos do nível de atendimento ao cliente que oferecemos – ele é a base do nosso relacionamento com todos os nossos clientes.
LIGAÇÃO GRATUITA
1.800.247.1024
LINHA LOCAL
512.263.0000
HORÁRIO COMERCIAL (CT)


